The Planck/ROSAT project
The Planck/ROSAT project
AVERAGE PROFILES
Average profiles obtained either from the average density and pressure profiles or from the median of the 18 systems in common between the two samples. The error bars on the median profiles were estimated using a randomized bootstrap technique (see Eckert et al. 2012a).
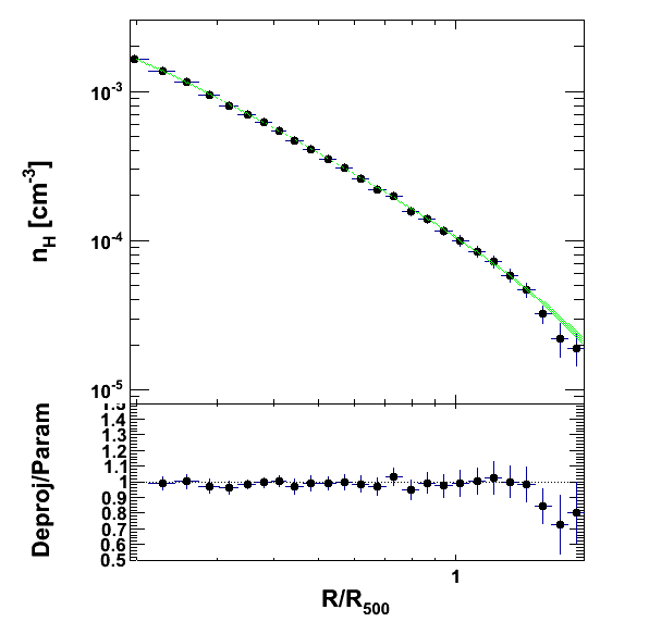
ROSAT/PSPC proton density profile (for the pressure see Planck Collaboration V 2013)

All temperature profiles for CC (blue) and NCC (red) systems compared to the profile from the average Planck and ROSAT samples

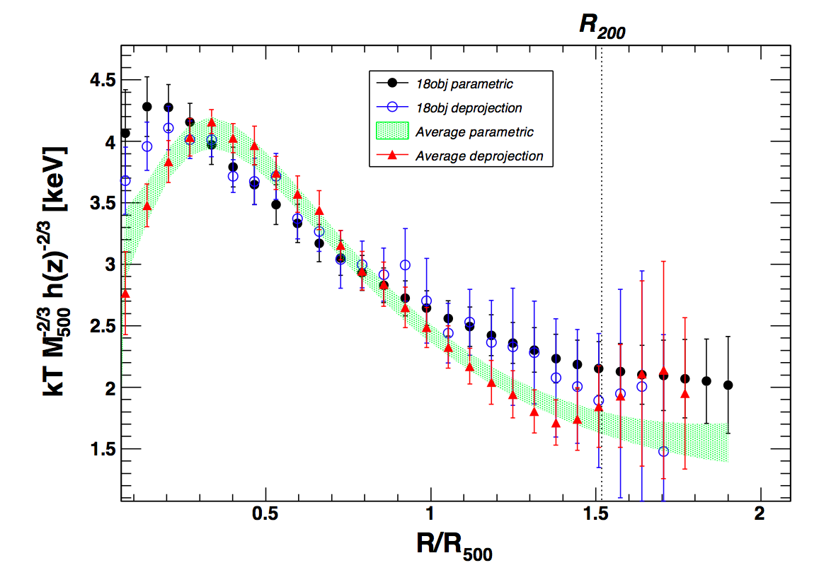
Average temperature profile obtained from the median of the 18 objects and from the average Planck and ROSAT profiles

All individual entropy profiles for CC (blue) and NCC (red) systems, rescaled by the self-similar K500 and compared to the self-similar expectation (dashed line) and the average profiles

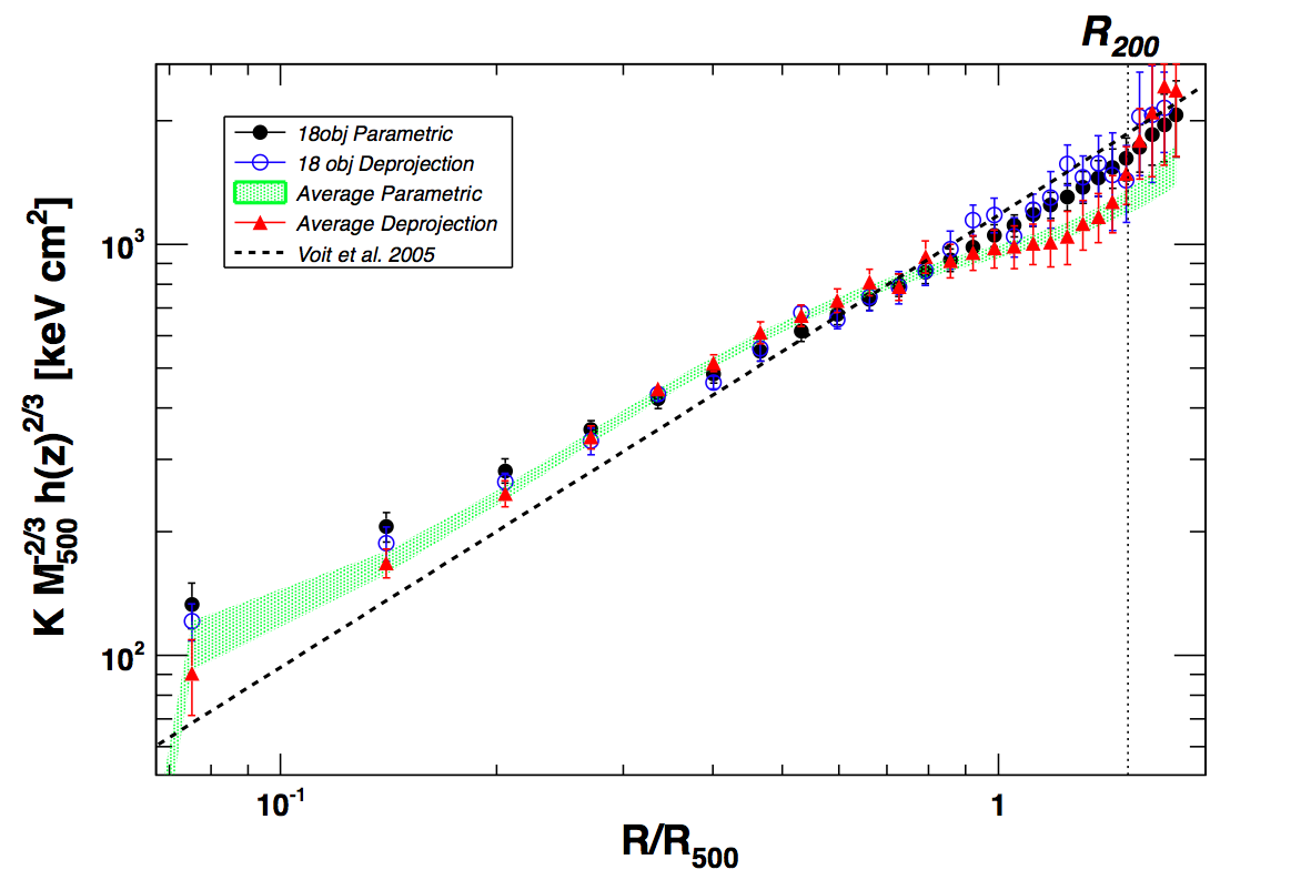
Average entropy profile obtained from the median of the 18 objects and from the average Planck and ROSAT profiles, and compared to the self-similar expectation (green dashed line)

Average hydrostatic gas fraction profile obtained from the median of the 18 objects and from the average Planck and ROSAT profiles. The dashed line shows the WMAP7 universal baryon fraction
