Geneva Observatory Web Page Geneva Planet Search Programmes

 
  OGLE-TR-113 and 132: two very hot Jupiters


  Last update: March the 6th 2005

 
 
 
  • Two new "very hot Jupiters" among the OGLE transiting candidates
    F. Bouchy, F. Pont, N.C. Santos, C. Melo, M. Mayor, D. Queloz, S. Udry, 2004
    A&A 421, L13 (ADS)

  • Accurate radius and mass of the transiting exoplanet OGLE-TR-132b
    C. Moutou, F. Pont, F. Bouchy, M. Mayor, 2004
    A&A 424, L31 (ADS)

  • May the 7th 2004 ESO Press Release
  • Orbital solution for OGLE-TR-113 confirmed by Konacki et al.


  •  
    FLAMES/UVES RV data for OGLE-TR-113 and 132
    (from Bouchy et al. 2004)
    Larger image (260 kb)
                
    Same RV data for OGLE-TR-132 but with the improved
    orbital solution published in Moutou et al. 2004
    Larger image (209 kb)


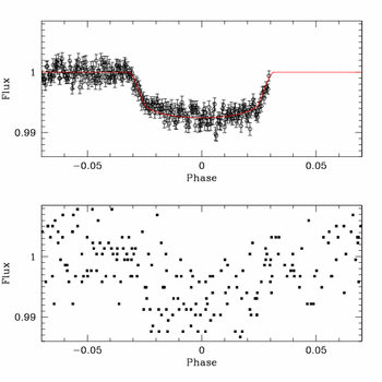
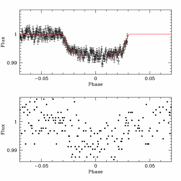
    VLT/FORS2 photometric data and fitted transit curve
    from Moutou et al. 2004 (Top).
    OGLE data for OGLE-TR-132 (Bottom)
    Larger image (400 kb)


  • OGLE-TR-113 and 132 orbital solutions (from Bouchy et al. 2004). The OGLE-TR-132 values updated in Moutou et al. (2004) are indicated in red:

    Object
    Period
    (days)
    T0
    (JD - 2 400 000)
    Eccentricity
    V
    (km/s)
    Omega
    (deg)
    K1
    (km/s)
    m2
    (M_Jup)
    r
    (R_Jup)
    a
    (AU)
    N
    Residuals
    (m/s)
    OGLE-TR-113 b
    1.4325
    52324.36394
    0 (fixed)
    -7.944 +/- 0.027
    0 (fixed)
    0.287 +/- 0.042
    1.35 +/- 0.22
    1.08 +0.07/-0.05
    0.0228 +/- 0.0006
    8
    66
    OGLE-TR-132 b
    1.689857
    +/- 0.000006
    53142.58884
    +/- 0.00009
    0 (fixed)
    39.681
    0 (fixed)
    0.167 +/- 0.018
    1.19 +/- 0.13
    1.13 +/- 0.08
    0.0306 +/- 0.0008
    5
    21


  • Other parameters (from Moutou et al. 2004):

    Transit impact parameter
    0.57 +/- 0.10
    Transit duration
    0.09476 +0.00027/-0.00007 (d)
    136.45 (m) +23/-6 (s)
    Radius ratio
    0.0812 +/- 0.0017
    Planet mean density
    1.02 +/- 0.33 (g/cm^3)


  • Stellar properties:

    Parameter
    OGLE-TR-113
    OGLE-TR-132
    Reference
    Sp. Type
    K
    -
    Bouchy et al. 2004
    pi (mas)
    -
    ~0.4
    -
    d (pc)
    -
    2500 +/- 250
    Moutou et al. 2004
    m_I (mag)
    14.42
    15.72
    OGLE
    V-R (mag)
    -
    0.58 +/- 0.05
    Moutou et al. 2004
    T_eff (K)
    4752 +/- 130
    6411 +/- 179
    Bouchy et al. 2004
    M_I (mag)
    -
    3.05 +/- 0.25
    Moutou et al. 2004
    L (L_sol)
    -
    ~3
    Moutou et al. 2004
    log(g) (CGS)
    4.50 +/- 0.53
    4.86 +/- 0.50
    Bouchy et al. 2004
    M_1 (M_sol)
    0.77 +/- 0.06
    1.35 +/- 0.06
    Bouchy et al. 2004/Moutou et al. 2004
    R (R_sol)
    0.765 +/- 0.025
    1.43 +/-0.10
    Bouchy et al. 2004/Moutou et al. 2004
    log(R'HK)
    -
    -
    -
    P_rot (d)
    -
    -
    -
    Vsini (km/s)
    -
    -
    -
    Age (Gyr)
    -
    0--1.4
    Moutou et al. 2004
    [Fe/H]
    0.43 +/- 0.18
    0.14 +/- 0.14
    Bouchy et al. 2004


  • Links:
  • OGLE-TR-113 @ OGLEIII
  • OGLE-TR-132 @ OGLEIII

  • ----
    Group Logo
    Extrasolar planet page

    Group Logo
    Planet Search and Stellar Kinematics group page

    Geneva Observatory Logo
    Geneva observatory

    Geneva University banner
    University of Geneva

     

    stephane.udry@obs.unige.ch